行列とは何?
行列の定義
行列とは数字(スカラー)の3次元を扱う事が出来るようにした定義です。
3次元を扱う事が出来ますがその分四則演算が難しくなります。
しかし三次元まで扱う事が出来るので図形、立体の計算が可能になります。なので行列の概念が理解できると立体処理が数字上で行う事が出来るようになる可能性が上がります。
私たちが生きている現代社会は次元で表すと3次元なので行列は便利な道具になります。
参考記事
スカラーとベクトルの違い
次元の意味
立体図形の扱いの参考記事

3次元のデーターを扱える事が出来る「行列」はどのように表すのでしょうか?
答えは()に文字を縦横並べて書いて表します。行列の「行」は横を意味し、「縦」は列を意味します。
このように定義された背景として計算がしやすく見やすいという利点があるからです。

行列の計算
次に行列の計算について見ていきましょう。
その前に数字に0があるように3次元を扱えるようになった行列にも0という概念が存在します。それはゼロ行列と呼ばれます。
ゼロ行列
ここで、A、B、Kを定義してみます。ここでもし値が無かったらゼロ行列と呼ばれます。

行列の四則演算
足し算・引き算
ここで、A+Bをしてみようと思います。しかしながら行列の足し算引き算のやり方は、通常の計算と変わりません。Aの左上の「2」とBの左上の「4」から順番に足していきます。
2+4=6、1+3=4
1+1=2、3+2=5
このようにして、求める事が出来ました。

引き算も同様に計算する事が出来ます。

掛け算

これは少し複雑です。
「行×列」をすると覚えましょう。

行*列はよく考えられているね

行の一列目が、掛け算する列にもそのまま対応します。
もちろん、行の二列目は、掛け算する行にもそのまま対応します。
このようにして計算したのが行列の掛け算です。
「行列」というだけあって、行列を掛け算するのは3次元を扱えて計算していると捉えると面白いですね。
慣れないとミスが多発しますので「理解した」だけでなくしっかりと練習していきたいですね。
割り算

ギョウレツノワリザンワ
行列の割り算は計算は一応できますが、基本的に用いられる事はなく非常に複雑です。ここでは省略したいと思います。
行列のあれこれ
行列は3次元を扱える数字です。しかしながら3次元を扱える「行列」はデメリットが多く発生します。それは計算がしづらいという点だけでなく扱いにくいという点です。
スカラーという数字だけあっても、意味がありません。
数字に公式という規則性を持たせて初めて意味を持ちます。
1次関数、2次関数といった式はその規則性を生み出しています。
しかしながら行列にはその公式を作り出すのが難しいです。
しかしながら数学者は考えました。
行列に正方行列・逆行列・転置行列など新たに定義する事によって数字と同じように扱えるようにしやすいという事です。
それでは順番に見ていきましょう。
転置行列とは?
転置行列とは、その名の通り、転置してしまった行列です。区別するために左上に上記のようなマークがつきます。

正方行列
正方形が四角形の仲間から特別に定義されるように行列も行列が同じだけ存在するのは定義します。

単位行列
Eと別名書かれます。計算や逆行列を求めるのに必要不可欠な要素です。
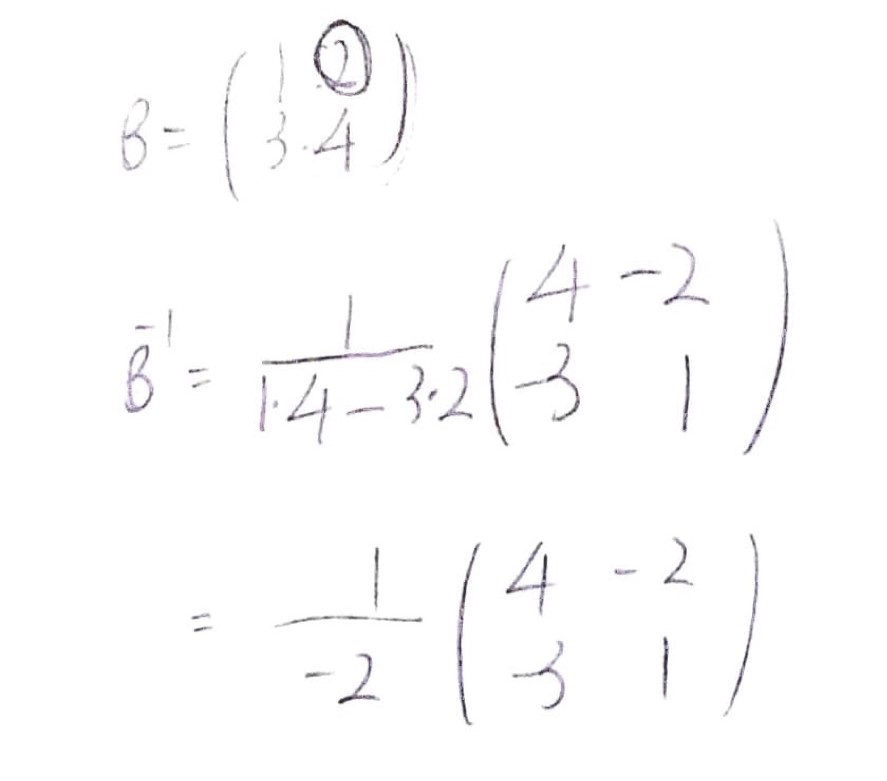
逆行列
時間が未来と過去と分かれるように行列にもそれぞれが逆になる逆行列と呼ばれる存在が生まれるのは必然だと捉えます。
基本行列
終わりに
いかがでしたか?行列は計算ミスが多発する分野です。楽しみながら計算していきましょう!






